Monday, April 13, 2026
AI

Implementing Incremental Conductance MPPT To Optimizing Solar Charging & Grid Feed

Optimizing Solar Charging & Grid Feed
470views

As solar energy becomes a crucial pillar in sustainable power systems, the demand for efficient and intelligent energy conversion techniques continues to rise. In solar-powered systems that charge batteries and feed excess energy into the grid, managing the power flow intelligently is critical. At the heart of such systems lies the Maximum Power Point Tracking (MPPT) algorithm– ensuring solar panels operate at their peak potential.

This blog dives into a firmware-implemented MPPT charging scheme using the Incremental Conductance (IncCond) algorithm to efficiently manage solar charging and grid feed.

Solar Charging & Grid Feed  System Overview

The system consists of the following components:
• Solar Panel Array– Converts sunlight into electrical energy.
• DC-DC Converter with MPPT– Regulates the panel’s operating point.
• Battery Bank– Stores energy for later use.
• Grid Tie Inverter– Feeds excess solar power into the grid.

A microcontroller (MCU) running the IncCond algorithm in firmware controls the DC-DC converter to ensure the solar panels always operate at their Maximum Power Point (MPP), whether energy is being stored in batteries or exported to the grid.

Why MPPT Matters?

The power output of a solar panel is not linear– it varies with environmental conditions like temperature and irradiance. Without MPPT, the system could operate far from its potential.

There are several MPPT algorithms, including:
• Perturb & Observe (P&O)– Simple but inefficient during rapid irradiance changes.
• Constant Voltage– Fixed reference, prone to error.
• Incremental Conductance (IncCond)– Offers better accuracy and adaptability.

In this implementation, we chose IncCond for its superior performance under dynamic environmental conditions.

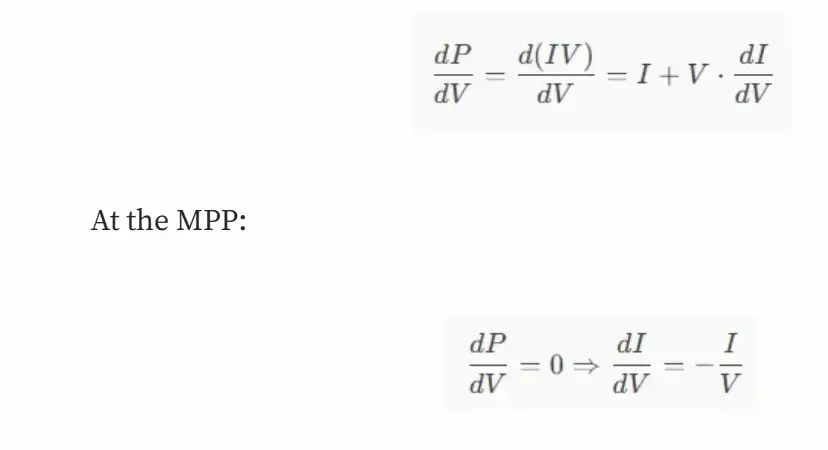
Understanding the MPPT Incremental Conductance Algorithm

MPPT algorithms optimize the operating point of the solar panel to extract maximum power. IncCond works by comparing the instantaneous conductance (I/V) and the incremental conductance (ΔI/ ΔV):.

MPPT Incremental Conductance Algorithm

 

Using below, we decision on logic

Firmware Implementation

 Select MCU

We use an MCU (e.g., STM32, TI C2000 or any other MCUs) with:
• High-resolution ADCs for voltage/current sensing
• PWM generation for DC-DC control
• Sufficient processing speed for real-time MPPT computation

Data Sampling

• Voltage and current from solar panels are sampled periodically.
• Finite differences used to calculate ΔI and ΔV.
• Filters (e.g., moving average or low-pass) applied to reduce noise.

How It Works in the System

The VmmpOut output is used by the voltage control loop to adjust the duty cycle of the buck converter.
• On each loop execution (~ 1– 2 ms), updated ADC values are fed into the MPPT logic.
• The algorithm ensures the system tracks the true MPP as solar conditions vary.

Observations

• MPPT quickly converges within ~ 1 second after power-up.
• System maintains stability under fast irradiance changes (passing clouds).
• Power extraction efficiency improved by 25– 30% compared to fixed voltage operation.

PWM Control

The duty cycle of the converter is adjusted based on the MPPT decision to either:
• Increase voltage (reduce duty cycle in buck converter).
• Decrease voltage (increase duty cycle).

Battery Charging Scheme.

Battery management logic ensures charging according to the battery type. For example:.
• Lead-acid: CC → CV → Float.
• Li-ion: CC → CV with BMS-controlled cutoff.

When batteries are fully charged, and solar power is still available, the system transitions to grid feed mode.

Features for Future Expansion.

• Adaptive step sizing for faster MPP convergence.
• Grid-tied export with real-time monitoring.
• Logging and telemetry via UART or BLE.
• Integration with incremental conductance + fuzzy logic hybrid.

Grid Feed Logic.

When excess energy exists, a grid tie inverter is activated:.
• Inverter synchronizes with grid voltage and phase.
• MCU controls or signals the inverter to initiate grid feed.
• Anti-islanding and export limits are enforced for safety.

This logic ensures priority as:.

1. Solar powers the local load.
2. Excess charges the battery.
3. Remaining power is exported to the grid.

Real-World Considerations.

• Sudden Irradiance Drop: IncCond handles it better than P&O.
• Partial Shading: Can cause multiple MPPs– requires extra caution.
• Temperature Drift: Panels degrade; thermal compensation helps.
• Noise and EMI: Proper filtering, shielding, and layout are essential.

 

Welcome to my blog! I’m Parmit Singh, and here at Codeplayon.com, we are dedicated to delivering timely and well-researched content. Our passion for knowledge shines through in the diverse range of topics we cover. Over the years, we have explored various niches such as business, finance, technology, marketing, lifestyle, website reviews and many others. Pinay Viral sfm compile AsianPinay taper fade haircut Pinay flex Pinay hub pinay Viral Fsi blog com pinay yum pinayyum.com baddies hub asianpinay.com tech crusader guestpostoutreach girlfriendgpt